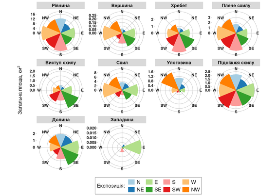
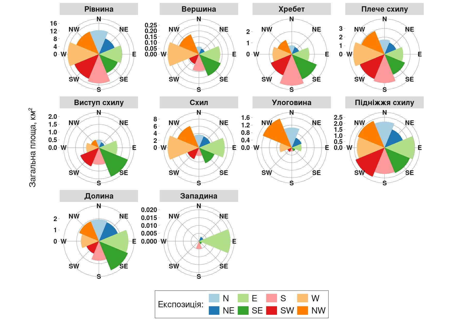
There are many ways to represent the spatial anisotropy of terrain forms.
In this case, I focused on a comparative approach: the real surface area of different geomorphon classes plotted against slope aspect.
All calculations were performed within the polygon of the effective catchment area of the Inhulets River.
This visualization highlights how specific landform types tend to “align” with certain aspect directions, revealing structural asymmetries within the catchment.
#Geospatial #Geomorphometry #TerrainAnalysis #RStats #DataViz #Hydrology #SAGA #EnvironmentalScience #GIS #RemoteSensing #InhuletsRiver #ggplot2 #Copernicus #CopernicusDEM #Geomorphology






