#NATUURKUNDE

Leeralles.nlleeralles
2025-10-27

Waterdruppels Dansen: Hoe Wolken Natuurkunde Doen!

Ik ben Pieper! ๐ŸŽ‰ Jullie kleine muis, klaar om samen met jullie het spannende avontuur van waterdruppels en wolken te ontdekken! ๐Ÿ’งโ˜๏ธ Wist je dat wolken een beetje zoals speelgoed zijn, maar dan vo...

๐ŸŒž Leer verder: leeralles.nl/waterdruppels-dan

Leeralles.nlleeralles
2025-10-26

Koken met Kracht: Leuk met Natuurkunde!

Hallo, jonge wetenschappers! ๐Ÿญ Ik ben Pieper, jullie favoriete muis met een grote liefde voor natuurkunde en een nog grotere liefde voor kaas! Vandaag gaan we iets heel bijzonders doen: we gaan d...

๐ŸŒž Leer verder: leeralles.nl/koken-met-kracht-

Bij radar is de golflengte veel langer en kan je (dus) een zichtbare overgang al overbruggen! Met een simpele detector kan je zien dat de radar-golf voor een deel rechtdoor gaat! Deze opstelling kost maar een paar tientjes aan materiaal om (na) te maken! ๐Ÿงต๐Ÿ›‘ #natuurkunde #scicomm #nobelprijs

Nobelprijs voor quantum tunneling. Het is voor het eerst dat een Nobelprijs gaat naar een onderwerp waar @tudelfttnw.bsky.social eerste jaars studenten in mijn maak-vak al een demonstratie opstelling voor gemaakt hebben! ๐Ÿงต๐Ÿ‘‡ www.instructables.com/Quantum-Tunn... #natuurkunde #scicomm #nobelprijs

Quantum Tunneling/evanescent W...

ednl ๐Ÿ‡ช๐Ÿ‡บednl
2025-09-04

Dutch exceptionalism: lightning is upside down in the Netherlands compared to all previous measurements! Sounds like April Fool's but apparently it's real, and real science.

"We suspect this is also true for other regions with the same meteorological parameters."โ€”Aww, perhaps not so exceptional...

๐Ÿ‡ณ๐Ÿ‡ฑ: rtvdrenthe.nl/nieuws/17742147/

Gabor de Mooijgabordemooij
2025-08-22

Programmeer je mee? In deze les maken we een kleine minigame genaamd Atronauten, gewoon vanuit je browser! youtube.com/watch?v=G6ttuUHibEo

Lesje programmeren, we maken een ruimtespel!
Kees AntiFA van MalssenKFvMalssen
2025-08-13

@geppiegep @ReneDamkot Laat degene die dat beweert eens met een goed onderbouwde berekening komen om aan te tonen dat het buiten minimaal 1 graad warmer wordt wanneer massaal airco's aangezet worden. Spoiler slert: dat kunnen ze niet. En al helemaal niet wanneer airco's draaien op de zonnestroom van het betreffende pand.

reinoud kaasschieterreinoudk@mastodon.nl
2025-06-12

[Artikel] ๐—”๐—บ๐—ฒ๐—ฟ๐—ถ๐—ธ๐—ฎ๐—ป๐—ฒ๐—ป ๐—ผ๐—ป๐˜๐˜„๐—ถ๐—ธ๐—ธ๐—ฒ๐—น๐—ฒ๐—ป ๐—พ๐˜‚๐—ฎ๐—ป๐˜๐˜‚๐—บ๐—บ๐—ฒ๐—ฐ๐—ต๐—ฎ๐—ป๐—ถ๐˜€๐—ฐ๐—ต๐—ฒ ๐—บ๐—ฒ๐˜๐—ต๐—ผ๐—ฑ๐—ฒ ๐—ผ๐—บ ๐˜ƒ๐—ฒ๐—ถ๐—น๐—ถ๐—ด๐—ฒ ๐—ฟ๐—ฎ๐—ป๐—ฑ๐—ผ๐—บ ๐—ด๐—ฒ๐˜๐—ฎ๐—น๐—น๐—ฒ๐—ป ๐˜๐—ฒ ๐—ฝ๐—ฟ๐—ผ๐—ฑ๐˜‚๐—ฐ๐—ฒ๐—ฟ๐—ฒ๐—ป

Een nieuwe #Toevalsgenerator op basis van #Quantummechanica levert betrouwbare en controleerbare willekeurige #Getallen.

Door Bruno van Wayenburg

nrc.nl/nieuws/2025/06/11/ameri via @nrc_nl

#Natuurkunde #Wiskunde #Quantummechanica #Quantum #Kwantummechanica #Kwantum #Toeval #Random #Randomnumber

Heerlijk onderdeel van mijn #onderwijs: het jaarlijkse bezoek van WO @tudelfttnw.bsky.social #natuurkunde studenten aan de Leidsche instrumentmakers School, waar MBO studenten opgeleid worden om wetenschappelijke instrumenten te maken. De Delftenaren krijgen eerst een rondleiding door de school. ๐Ÿงต๐Ÿ‘‡

Patrick Vanhouckelibrarianbe
2025-04-06

In Los Angeles (VS) heeft de Nederlandse Gerard 't (78) een speciale -prijs gekregen voor fundamentele . Hij ontvangt de prijs voor zijn fundamentele werk aan de ontwikkeling van het van de .

nrc.nl/nieuws/2025/04/05/neder

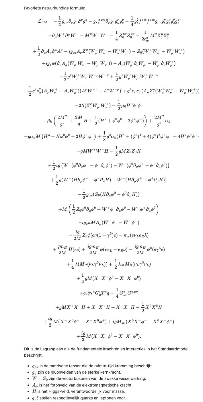
Bij de opening van mijn eerste jaars #natuurkunde vak op de @tudelft.bsky.social vragen we studenten: โ€œgeef even je favoriete formule om te testen of je met LaTeX kan werkenโ€. De meeste geven de kortst mogelijk formule, lekker snel klaar. Deze student niet...

de wiskundige beschrijving van het standaardmodel van de natuurkunde
Philippe Smetpfsmet
2024-11-19

Vanavond laat ik mijn licht schijnen over de (materiaal-) van glow-in-the-dark, van Mariabeelden over straatstrepen tot druksensoren. Lezing voor de Vereniging voor
(vvn.ugent.be/activiteiten...). Dit is alvast de preview, aan een verschroeiende 500ms per slide:

Leeralles.nlleeralles
2024-10-26

Wat zijn die piepkleine deeltjes in de natuurkunde?

Hey lieve studenten!

Vandaag gaan we het hebben over de piepkleine deeltjes in de natuurkunde. Deze deeltjes, ook wel subatomaire deeltjes genoemd, zijn de bouwstenen van alles om ons heen. Ze zijn...

๐ŸŒž Leer verder: leeralles.nl/wat-zijn-die-piep

Leeralles.nlleeralles
2024-10-25

Zo werkt energie! Alles over power in de natuurkunde

**Hallo lieve studenten!**

Vandaag gaan we het hebben over een superbelangrijk onderwerp in de natuurkunde: energie! Energie is overal om ons heen en speelt een grote rol in ons dagelijks leven.

...

๐ŸŒž Leer verder: leeralles.nl/zo-werkt-energie-

Leeralles.nlleeralles
2024-10-23

Leer hoe de wereld werkt: Natuurkunde voor echte slimmeriken!

Hoi allemaal! Ik ben Pieper de muis en ik ben hier om jullie alles te leren over natuurkunde voor echte slimmeriken. ๐Ÿญ๐Ÿ’ก

Natuurkunde is een super interessant vak waarbij we proberen te begrijpen hoe...

๐ŸŒž Leer verder: leeralles.nl/leer-hoe-de-werel

Leeralles.nlleeralles
2024-10-17

Alles over het weghalen van elektrische plakkers in de natuurkunde

Hoi lieve studenten! Vandaag ga ik jullie alles vertellen over het weghalen van elektrische plakkers in de natuurkunde. Klinkt ingewikkeld hรฉ? Maar geen zorgen, ik ga het zo simpel mogelijk uitlegge...

๐ŸŒž Leer verder: leeralles.nl/alles-over-het-we

Leeralles.nlleeralles
2024-10-15

Over hoe Heisenberg je niet toelaat alles te weten in de natuurkunde

Hey lieve studenten! Vandaag ga ik jullie alles vertellen over een heel interessant concept in de natuurkunde genaamd de Heisenberg onzekerheidsprincipe. Klinkt ingewikkeld he? Maak je geen zorgen, ...

๐ŸŒž Leer verder: leeralles.nl/over-hoe-heisenbe

Leeralles.nlleeralles
2024-10-15

Zo werkt de kracht van meneer Lorentz: een lesje natuurkunde!

Als jullie al een beetje bekend zijn met natuurkunde, hebben jullie vast wel eens gehoord van de Lorentzkracht. Deze kracht wordt gebruikt om de beweging van geladen deeltjes in een magnetisch vel...

๐ŸŒž Leer verder: leeralles.nl/zo-werkt-de-krach

Leeralles.nlleeralles
2024-10-09

Kijk eens, golven die samen spelen: Leer over interferentie in natuurkunde!

Ik ben Pieper de muis en vandaag ga ik jullie alles vertellen over interferentie in de natuurkunde! Interferentie is een super interessant fenomeen waarbij golven samen spelen en elkaar beรฏnvloede...

๐ŸŒž Leer verder: leeralles.nl/kijk-eens-golven-

2024-10-09

#3396
#Hopfield en #Hinton, die hebben talent
en zijn van nature heel intelligent:
Ze knoopten al jaren geleden zowaar
neurale netwerken in en aan elkaar
die u nu als #ChatGPT en zo kent.

Op de winnaars van de #Nobelprijs voor #natuurkunde. #AI
volkskrant.nl/wetenschap/psych

Client Info

Server: https://mastodon.social
Version: 2025.07
Repository: https://github.com/cyevgeniy/lmst