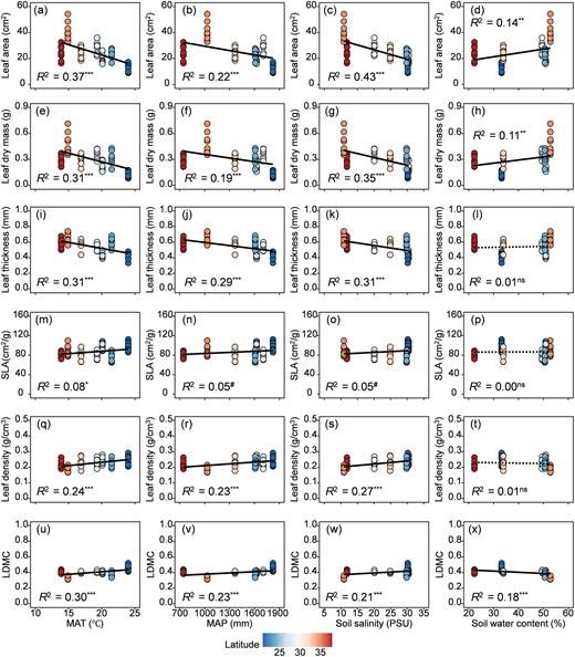
💡 #LatitudinalVariation in #LeafFunctionalTraits of an invasive salt-marsh plant and its relationship with #GrowthPerformance.
Object:  #SpartinaAlterniflora.
Results:
1️⃣ #GeographicalVariation ➡️ climate & sedimentary variables;
2️⃣ #GeneticDifferentiation ➡️ leaf size & thickness & leaf area;
3️⃣ #PhenotypicPlasticity ➡️ leaf density & dry matter content.
https://doi.org/10.1093/jpe/rtaf008




