#UoC

Juan Luis Reciojuanluisrecio@masto.es
2025-08-24

Es importante que las neveras portátiles tengan la capacidad de mantener los alimentos a una temperatura igual o inferior a 4 °C, explica Amparo Gamero, profesora de la #UOC. Y es que un informe de... periodistadigital.com/elbuenvi #verano #alimentación #salud #calor @UOCuniversitat

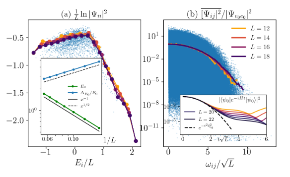
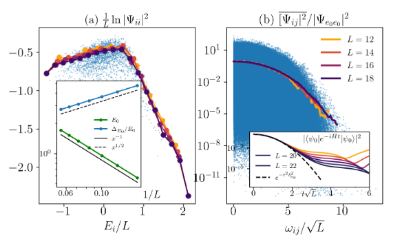
SciPost Physicsphysics@scipost.social
2025-08-20

New #openaccess publication #SciPost #Physics

Random matrix universality in dynamical correlation functions at late times

Oscar Bouverot-Dupuis, Silvia Pappalardi, Jorge Kurchan, Anatoli Polkovnikov, Laura Foini
SciPost Phys. 19, 050 (2025)
scipost.org/SciPostPhys.19.2.0

#CNRS #IPhT #LPTMS #CEASaclay #ParisSaclayUniversity #UoC #PSL @sorbonne_univ_ #ENS #ParisCité #LPENS #BU

Juan Luis Reciojuanluisrecio@masto.es
2025-08-19

Algunos comportamientos típicos del #verano, como el aumento de la vida social, la exposición a la luz natural o la práctica de actividades al aire libre, pueden tener efectos beneficiosos sobre la #salud #cerebral. "Estas acciones favorecen la plasticidad neuronal, reducen el... periodistadigital.com/elbuenvi #UOC @uocuniversidad

Russia Religion WatchRussiaReligionWatch
2025-08-17

It's a sophisticated legal and PR defense to delay accountability and obscure its ties to an aggressor state during wartime.
2/15

SciPost Physicsphysics@scipost.social
2025-06-24

New #openaccess publication #SciPost #Physics

The chiral SYK model in three-dimensional holography

Alexander Altland, Dmitry Bagrets, Nele Callebaut, Konstantin Weisenberger
SciPost Phys. 18, 205 (2025)
scipost.org/SciPostPhys.18.6.2

#UoC #FZJülich

SciPost Physicsphysics@scipost.social
2025-06-19

New #openaccess publication #SciPost #Physics

A minimal tensor network beyond free fermions

Carolin Wille, Maksimilian Usoltcev, Jens Eisert, Alexander Altland
SciPost Phys. 18, 196 (2025)
scipost.org/SciPostPhys.18.6.1

#Cambridge #UoC #FUBerlin #HZB

WiSoFakultät_UniKölnWiSo@wisskomm.social
2025-06-04

"AFTER THE GAME IS BEFORE THE GAME!" WHAT’S NEXT AT 65+?

Are you professor, manager or staff of the @UniKoeln and retirement is in sight? Our #BrownBag session invites you to reflect on this transition, share experiences, and connect with fellow #UoC colleagues approaching this life milestone.
Bring your own #lunch or #drink, join the conversation, and gain fresh perspectives in a relaxed setting.

📅 06.06.25 | 🕛 12:00–13:30 | 📍 Gateway, Weyertal 109
3e33
👉 Info: uni.koeln/PTMES

An older woman with short white hair and glasses, wearing a green blouse, is standing in a modern office space. She is smiling while holding an open green notebook and placing colorful sticky notes (blue, green, and white) on a transparent glass board. Behind her, there are computer screens, a plant, and a blurred office background. In the upper-right corner, there is a vibrant circular logo with a rainbow-colored border containing the German text "DU machst den Unterschied" ("YOU make the difference"). The scene conveys a positive, engaged, and empowering work atmosphere.
Juan Luis Reciojuanluisrecio@masto.es
2025-05-21

La #selectividad (#PAU) es un momento decisivo en la vida de los estudiantes. Según Patricia Martínez, de la Universitat Oberta de Catalunya (#UOC), una #dieta adecuada debe comenzar a implantarse meses antes de las pruebas... periodistadigital.com/elbuenvi @UOCuniversitat

SciPost Physicsphysics@scipost.social
2025-04-24

New #openaccess publication #SciPost #Physics

Out-of-equilibrium eigenstate thermalization hypothesis

Laura Foini, Anatoly Dymarsky, Silvia Pappalardi
SciPost Phys. 18, 136 (2025)
scipost.org/SciPostPhys.18.4.1

#CEASaclay #CNRS #ParisSaclayUniversity #IPhT #UK #UoC

ICalzadaICalzada
2025-04-16

Looking forward to contributing in this at in next week post

Juan Luis Reciojuanluisrecio@masto.es
2025-03-27

La Universitat Oberta de Catalunya (#UOC) quiere ayudar a mitigar este problema social relevante, conocido como la brecha digital gris, que hace referencia a la desigualdad en el acceso, el uso y el aprovechamiento efectivo de las tecnologías digitales entre... periodistadigital.com/elbuenvi #edadismo

ICalzadaICalzada
2025-02-18

are reshaping and the

➡️ Session
➡️ Venue:
➡️ Registration: lnkd.in/dwDp_f_U

Juan Luis Reciojuanluisrecio@masto.es
2025-02-13

¿Cuáles serán, pues, las principales #tendencias alimentarias para el 2025? Profesorado e investigador es de Ciencias de la Salud de Universitat Oberta de Catalunya (#UOC) exponen 10 tendencias en el ámbito de la #alimentación, la #nutrición y... periodistadigital.com/elbuenvi

SciPost Physicsphysics@scipost.social
2025-01-30

New #openaccess publication #SciPost #Physics

Interaction and collision of skyrmions in chiral antiferromagnets

George Theodorou, Bruno Barton-Singer, Stavros Komineas
SciPost Phys. 18, 037 (2025)
scipost.org/SciPostPhys.18.1.0

#UOC #ΙΤΕ

WiSoFakultät_UniKölnWiSo@wisskomm.social
2024-12-17

🎓 Interested in a doctoral scholarship? Apply by March 15, 2025 for the scholarships at the Cologne Graduate School:

The Cologne Graduate School in Management, Economics and Social Sciences (CGS) provides a world-class research environment at the University of Cologne. 🌍📚
🎯 Your chance to engage in interdisciplinary research, receive financial support, and join a strong academic network!
🚀 Apply now!

👉 Find out more: cgs.uni-koeln.de/en/

#DoctoralScholarship #CGS #UoC #wisocgn

Text: INTERESTED IN A DOCTORAL PROGRAMME?
APPLY UNTIL
15.03.2025 FOR:
- PhD Programme Economics
- EWI Fellowship Programme
- Doctoral Scholarship Business Administration
- Doctoral Scholarship Behavioural Management Science
- Doctoral Scholarship Demography & Social Inequality
- Doctoral Scholarship Sustainable Smart Energy & Mobility
WiSoFakultät_UniKölnWiSo@wisskomm.social
2024-12-09

🎓🌍 UoC celebrates CEMS MIM Graduation in Bergen!
28 @UniKoeln students joined 600 graduates from 33 top business schools at the prestigious CEMS Global Graduation Ceremony, hosted by NHH in Norway. 🌟🎉

A global network, lifelong memories, and a bright future ahead! 🌟

👉uni.koeln/Y39BV

#CEMS #GraduationDay #UoC #InternationalManagement #GlobalLeaders #WiSoCGN

A woman in a Norwegian-style costume stands on a stage and reads something aloud. Behind her a projection of the following text: CEMS MIM Graduation - BERGEN - 2024A group of CEMS MIM graduates stand for a photo with stylish certificates on stage in front of a large audience at the CEMS MIM Graduation 2024 in Bergen.A group of festively dressed CEMS MIM graduates from the University of Cologne surrounds WiSo Dean Ulrich Thonemann for a group photo at the CEMS MIM Graduation 2024 in Bergen.
SciPost Physicsphysics@scipost.social
2024-12-09

New #openaccess publication #SciPost #Physics

Replica symmetry breaking in spin glasses in the replica-free Keldysh formalism

Johannes Lang, Subir Sachdev, Sebastian Diehl
SciPost Phys. 17, 160 (2024)
scipost.org/SciPostPhys.17.6.1

#UoC #Harvard

WiSoFakultät_UniKölnWiSo@wisskomm.social
2024-11-25

🎉 Congratulations! 🌈📚
The Jenny Gusyk Prize in the category ‘Equality’ has been awarded to the Women and Non-binary Research Group of the Cologne Center for Comparative Politics (CCCP)! 🏆👏

This incredible group fosters diversity and collaboration through peer mentoring, events, and interdisciplinary research—empowering female and non-binary scholars to thrive in academia. ✨📖🤝

Details 🔗: uni.koeln/LS92U

#JennyGusykPrize #CCCP #WomenInResearch #wisocgn #UoC

A group of eight people is standing side by side, smiling at the camera. Four people in the front row are holding certificates in their hands. The individuals are dressed in formal attire, and the background is a plain gray wall.
Stephen Hayeshayesstw@c.im
2024-11-02

Spare a thought (and a prayer, if you are so minded) for the Ukrainian Orthodox Church.

Sold out by:
- the Patriarch of Constantinople
- the Patriarch of Alexandria
- the Patriarch of Moscow

And persecuted by the Ukrainian government.

I suspect that they are the last remnant of the one, holy, catholic and apostolic church.

#Ukraine #Orthodox #UOC

Ukrainian Orthodox Church

Client Info

Server: https://mastodon.social
Version: 2025.07
Repository: https://github.com/cyevgeniy/lmst