#thu

2025-10-23

**Chức năng thú vị từ $50? Teilen Askịn network SaaSClaims: Có cung cấpedding gì & cách trích từ 5 khách hàng?**
#SaaS #Business #ThươngVị #TừuTác #Thu clock #Kế toan #Nghiên cứu
*ĐMond 50+/tháng của SaaS? Hãy chia sẻ kinh nghiệm!*

(Chữ ký: 458 ký tự)

reddit.com/r/SaaS/comments/1od

2025-10-18

💰 **Cách Mất Thải 700 USD/Ngày Từ Bonus Sweepstakes**
Earn $700+ hôm nay bằng việc mua/săn "SC" (coin) từ các trang sweepstakes,随后 "wash" qua game RTP cao (như Plinko, Blackjack). Các trang như Legendz, Jackpota, McLuck cóodon+Ngoi nhất. Chi phí thấp (15-35$) để đống hơn 200$利润.

🔥 **Tips**: Ưu tiên game RTP vehículo (97-99%), chọn cấp độ rủi ro thấp.
📍 **Tags**: #SideHustle #SweepstakesTips #TiềnM listes #LàmTiền #Thu Cycl unity #Gaming side

*Lưu ý:"=>"Chuẩn xácmpeg, cân bằng rủi ro

🅱🅸🅶🅾🆁🆁🅴.🅾🆁🅶bigorre_org
2025-09-26

Aviation weather for
Pituffik Space Base airport in Dundas area (Greenland) is “BGTL 261355Z AUTO 00000KT 9999 OVC008 M00/M03 A2945 RMK AO2 SLP955 T10041026 TSNO ?” : See what it means on bigorre.org/aero/meteo/bgtl/en <img src="bigorre.org/imgl/maps_aeroport" alt="
Pituffik Space Base airport"> vl

🅱🅸🅶🅾🆁🆁🅴.🅾🆁🅶bigorre_org
2025-09-26

Aviation weather for
Pituffik Space Base airport in Dundas area (Greenland) is “BGTL 261355Z AUTO 00000KT 9999 OVC008 M00/M03 A2945 RMK AO2 SLP955 T10041026 TSNO ?” : See what it means on bigorre.org/aero/meteo/bgtl/en <img src="bigorre.org/imgl/maps_aeroport" alt="
Pituffik Space Base airport"> vii3

Để mua iPhone 17 Pro 256GB, người Việt cần làm việc trung bình 99 ngày! 📱💰 Các quốc gia khác thì sao nhỉ? 🤔

#iPhone17Pro #Vietnam #CôngNghệ #Thu nhập #iPhone #VietNam #CongNghe #ThuNhap

cafef.vn/nguoi-viet-can-toi-99

2025-09-13

Một kỹ sư bị mất việc đã tạo một kênh YouTube âm nhạc монетизировать và kiếm tiền trong 3 tháng nhờ sử dụng các công cụ AI như MidJourney, Runway, Pika Labs, LaMa, ChatGPT, Suno và Leonardo. Anh ấy chia sẻ quy trình này như một ý tưởng cho những ai đang tìm kiếm cơ hội việc làm hoặc dự án phụ.
#AI #YouTube #thu nhập #công nghệ #vieclam # trí tuệ nhân tạo #thu nhập thụ động

reddit.com/r/SideProject/comme

2025-09-03

"Bầu" Đoan ở Thanh Hóa sở hữu bộ sưu tập xe cổ trị giá hàng trăm tỷ đồng tại dinh thự trắng. Thú chơi xe cổ của ông khiến giới mộ điệu ấn tượng hơn là việc khoe siêu xe đời mới.
#xeco #thuxe #baudoan #xe cổ #thú chơi xe

vietnamnet.vn/bau-doan-cat-giu

2025-09-01

80 năm sau Cách mạng Tháng 8, Việt Nam từ một nước nghèo vươn lên thành nền kinh tế lớn thứ 34 thế giới với GDP 476,3 tỷ USD (2024) và thu nhập bình quân đầu người gần mức trung bình cao. 🇻🇳

#kinhte #vietnam #cachmangthang8 #GDP #thu nhập
#kinhtế #ViệtNam #cáchmạngtháng8 #thu nhậpbìnhquân

vietnamnet.vn/80-nam-hanh-trin

2025-08-28

Kem nghệ E150 quảng cáo "da mịn trắng sáng như vầng Thái Dương" bị Bộ Y tế yêu cầu thu hồi toàn quốc vì quảng cáo sai sự thật. 😱

#thuhoikem #quangcaosaisuthat #BộYtế #kemnghe #skincare #Vietnam #thôngtin
#thu hồi kem #quảng cáo sai sự thật #Bộ Y tế #kem nghệ #chămsócda #ViệtNam #tin tức

vietnamnet.vn/thu-hoi-lo-kem-n

2025-08-21

⚠️ Thu hồi khẩn cấp nước súc miệng trẻ em Lesgo vì phát hiện chứa Methylparaben (chất không được phép có trong công thức). Cục Quản lý Dược yêu cầu tiêu hủy để đảm bảo an toàn cho trẻ.
#thuthuoc #yte #baovesuckhoe #antoan #леѕgо #хаhoi
#thu hồi #y tế #sức khỏe #an toàn #trẻ em

vtcnews.vn/thu-hoi-khan-nuoc-s

SciPost Physicsphysics@scipost.social
2025-06-27

New #openaccess publication #SciPost #Physics

Boundary operator expansion and extraordinary phase transition in the tricritical O(N) model

Xinyu Sun, Shao-Kai Jian
SciPost Phys. 18, 210 (2025)
scipost.org/SciPostPhys.18.6.2

#THU #TulaneUniversity

Fuck Your Social Mediafysm@fysm.world
2025-06-16

Nation of Language To Release ‘Dance Called Memory’ September 19th

On September 19th, 2025, Nation of Language will release Dance Called Memory, their fourth album and full-length Sub Pop debut. The 10-track effort was recorded, produced, and mixed by returning producer and collaborator Nick Millhiser in New York City and mastered by Heba Kadry in Brooklyn. Dance Called Memory features the current breakout radio single “Inept Apollo,” along with highlights ‘Under the Water,” “In Your Head,” “Silhouette,” and today’s offering, “I’m Not Ready for the Change” with an official video from director John MacKay.

Synthpop, minimal wave, post-punk, goth, new romantic — fans and critics alike have dug deeply into their vintage thesauruses to describe the beguiling work of Nation of Language. And if you can’t precisely define the band, that’s the point. Frontman Ian Richard Devaney has become prodigious in expanding what synthesizer-driven music can evoke, such that his output is as much an extrasensory journey as it is an all-too-human destination. With that experience in mind, he wrote the band’s fourth album — the spectral, spacious Dance Called Memory — in the most humble of ways: chipping away at melancholia by sitting around and strumming his guitar.

Nation of Language’s first three albums, Introduction, Presence (2020), A Way Forward (2021), and Strange Disciple (2023) came as pandemic-era godsends: gorgeous, relatable soundtracks to our collective doldrums.

On Dance Called Memory, Nation of Language once again collaborated with friend and Strange Disciple producer Nick Millhiser (LCD Soundsystem, Holy Ghost!). “What’s so great about Nick is his ability to make us feel like we don’t need to do what might be expected of us,” says synth player Aidan Noell, who, along with bassist Alex MacKay, rounds out the Nation of Language lineup. They imbued Dance Called Memory with a shifted palette — for example, smashing all of the percussion of “In Another Life” through a synthesizer to cast a shade of early-2000s electronic music or by sampling chopped-up drum breaks on “I’m Not Ready for the Change,” for a touch of Loveless-era My Bloody Valentine.

Ultimately, the hope was to weave raw vulnerability and humanity into a synth-heavy album. “There is a dichotomy between the Kraftwerk school of thought and the Brian Eno school of thought, each of which I’ve been drawn to at different points. I’ve read about how Kraftwerk wanted to remove all of the humanity from their music, but Eno often spoke about wanting to make synthesized music that felt distinctly human,” Devaney says. “As much as Kraftwerk is a sonically foundational influence, with this record I leaned much more towards the Eno school of thought. In this era quickly being defined by the rise of AI supplanting human creators I’m focusing more on the human condition, and I need the underlying music to support that… Instead of hopelessness, I want to leave the listener with a feeling of us really seeing one another, that our individual struggles can actually unite us in empathy (read full bio at Sub Pop).”

Nation of Language has also added a few new shows to their previously announced international headlining tour dates in North America, the EU, and the UK for the fall of 2025.

The North American shows begin on Thursday, August 21st in Hamden, CT at Space Ballroom and run through Thursday, October 30th in Washington, DC at 9:30 Club. Highlights for this leg include a hometown, three-night stand September 18th-20th at Brooklyn’s Warsaw and a two-night stand on Wednesday, October 15th and Thursday, October 16th at The Fonda Theatre in Los Angeles.

Nation of Language’s UK and EU trek now starts with the addition of the second Dublin, IE show on Thursday, November 6th at Opium and ends Friday, November 28th in Lisbon, PT at LAV. The band will also headline some of their largest UK/EU venues to date on this run, including The Roundhouse in London on Wednesday, November 8th, and Columbiahalle in Berlin on Friday, November 21st.

Support for the North American and UK/EU shows will come from Safe Mind (Aug. 21st-23rd), Deathwish Inc.’s Greet Death (Sep. 20th-Oct. 5th), Sub Pop labelmates Deeper (Oct.16th-30th), and Partisan Records act Westerman (Oct. 8th-16th + Nov. 8th-22nd).

Preceding the late summer/fall headline run, Nation of Language will also support Death Cab For Cutie on its Plans: 20th Anniversary Tour in Seattle at the Climate Pledge Arena (Thu. Jul. 31st + Sat. Aug. 2nd) and in Chicago at Chicago Theatre (Tue. Aug. 5th + Wed. Aug. 5th).

Nation of Language
Summer 2025 Support Shows w/ Death Cab for Cutie
Thu. Jul. 31 – Seattle, WA – Climate Pledge Arena **
Sat. Aug. 02 – Seattle, WA – Climate Pledge Arena ** [Sold Out]
Tue. Aug. 05 – Chicago, IL – Chicago Theater ** [Sold Out]
Wed. Aug. 06 – Chicago, IL – Chicago Theater ** [Sold Out]
 
August – October 2025
North American Headline Shows
Thu. Aug. 21 – Hamden, CT – Space Ballroom !
Fri. Aug. 22 –  Woodstock, NY – Bearsville Theater !
Sat. Aug. 23 – Portland, ME – State Theatre !
Thu. Sep. 18 – Brooklyn, NY – Warsaw %
Fri. Sep. 19 – Brooklyn, NY – Warsaw +
Sat. Sep. 20 – Brooklyn, NY – Warsaw #
Sun. Sep. 21 – Boston, MA – Royale #
Tue. Sep. 23 – Detroit, MI – The Majestic #
Wed. Sep. 24 – Chicago, IL – Thalia Hall #
Fri. Sep. 26 – Minneapolis, MN – First Avenue #
Sat. Sep. 27 – Milwaukee, WI – Turner Hall Ballroom #
Mon. Sep. 29 – Omaha, NE – Slowdown #
Tue. Sep. 30 – Kansas City, MO – The Truman #
Thu. Oct. 02 – Denver, CO – The Gothic Theatre #
Sat. Oct. 04 – Boise, ID – Knitting Factory #
Sun. Oct. 05 – Missoula, MT – Top Hat #
Wed. Oct. 08 – Vancouver, BC – The Pearl ^
Sun. Oct. 11 – Portland, OR – Revolution Hall ^
Mon. Oct. 13 – San Francisco. CA – The Fillmore ^
Wed. Oct. 15 – Los Angeles, CA – The Fonda Theater ^
Thu. Oct. 16 – Los Angeles, CA – The Fonda Theater  *
Fri. Oct. 17 – San Diego, CA – Music Box *
Tue. Oct. 21 – Austin, TX – Mohawk *
Wed. Oct. 22 – Dallas, TX – The Studio at The Bomb Factory *
Thu. Oct. 24 – Houston, TX – White Oak Music Hall *
Sat. Oct. 25 – Atlanta, GA – Variety Playhouse *
Sun. Oct. 26 – Chapel Hill, NC – Cat’s Cradle *
Mon. Oct. 27 – Richmond, VA – The Broadberry *
Wed. Oct. 29 – Philadelphia, PA – Union Transfer *
Thu. Oct. 30 – Washington, DC – 9:30 Club *
 
November 2025
UK/EU Headlining Shows
Thu. Nov. 06 – Dublin, IE – Opium $
Fri. Nov. 07 – Dublin, IE – Opium $ [Sold Out]
Sat. Nov. 08 – Manchester, UK – O2 Ritz Manchester ^
Sun. Nov. 09 – Glasgow, UK – St. Luke’s ^
Tue. Nov. 11 – Cardiff, UK – Tramshed ^
Wed. Nov. 12 – London, UK – The Roundhouse ^
Fri. Nov. 14 – Paris, FR – Elysee Montmartre ^
Sat. Nov. 15 – Amsterdam, NL – Melkweg ^
Sun. Nov. 16 – Nijmegen, NL – Doornroosje ^
Tue. Nov. 18 – Cologne, DE – Gloria ^
Wed. Nov. 19 – Hamburg, DE – Uebel & Gefährlich ^
Fri. Nov. 21 – Berlin, DE – Columbiahalle ^
Sat. Nov. 22 – Munich, DE – Technikum ^
Sun. Nov. 23 – Milan, IT – Magazzini Generali
Wed. Nov. 26 – Barcelona, ES – Razzmatazz
Thu. Nov. 27 – Madrid, ES – La Riviera
Fri. Nov. 28 – Lisbon, PT – LAV
 
** w/ Death Cab For Cutie
! w/ Safe Mind
# w/ Greet Death
* w/ Deeper
^ w/ Westerman
+ w/ Horse Jumper of Love
% w/ A. Savage
$ w/ Telekura
Nation of Language previewed the release of Dance Called Memory with the aforementioned “Inept Apollo” by sharing the dioramic official video for the ebullient new single, also directed by John MacKay. The song is currently at #27 on the Mediabase AAA chart, seeing airplay from the likes of Live 105, Sirius XMU, KEXP, KCRW, BBC 6 Music, and more.

Dance Called Memory is available to preorder on CD/LP/all DSPs from Sub Pop. LP purchases from Nation of Language’s Offical Webstore, megamart.subpop.com in North America, MM2 in the UK + EU, your local record store, and directly from the band at their live shows will receive the limited “Loser” Edition on Clear + Black & Blue Hi-Melt (NA), Clear Blue w/ White Hi-Melt (Band Web Exclusive) or Corona Red/White (UK/EU) vinyl. There will also be special color variants available, including Rough Trade (UK) and Urban Outfitters (US) (all vinyl color editions whilst stock lasts!).

#27 #dates #Fri #Mon #NationOfLanguage #newAlbum #pop #Sat #Sun #Thu #Tue #Wed

🅱🅸🅶🅾🆁🆁🅴.🅾🆁🅶bigorre_org
2025-05-23

Aviation weather for
Pituffik Space Base airport in Dundas area (Greenland) is “BGTL 211255Z AUTO 17015KT 9999 OVC027 M02/M07 A3032 RMK AO2 SLP250 T10251074 TSNO ?” : See what it means on bigorre.org/aero/meteo/bgtl/en <img src="bigorre.org/imgl/maps_aeroport" alt="
Pituffik Space Base airport"> vl

2025-05-20

Giàu có ngay tức thì với Cuộc Cách Mạng Khai Thác AI: Thu về 550.000 đô la ngay cả khi nghỉ dưỡng!

Giàu có ngay tức thì với Cuộc Cách Mạng Khai Thác AI: Thu về 550.000 đô la ngay cả khi nghỉ dưỡng! nhậpthụđộng có Tạm biệt khai thác truyền thống, chào mừng kỷ nguyên mới của sự giàu có thông minh! Hãy tưởng tượng bạn đang thư giãn trên bãi biển, nhâm nhi đồ uống mát lạnh, trong khi tài khoản tiền điện tử của bạn tự động sinh lời…

doogee.io.vn/266487/giau-co-ng

SciPost Physicsphysics@scipost.social
2025-05-02

New #openaccess publication #SciPost #Physics

Three-dimensional quantum Hall effect in topological amorphous metals

Jiong-Hao Wang, Yong Xu
SciPost Phys. 18, 146 (2025)
scipost.org/SciPostPhys.18.5.1

#THU #HeifeiLab

SciPost Physicsphysics@scipost.social
2025-04-08

New #openaccess publication #SciPost #Physics

Universal aspects of high-temperature relaxation dynamics in random spin models

Tian-Gang Zhou, Wei Zheng, Pengfei Zhang
SciPost Phys. 18, 120 (2025)
scipost.org/SciPostPhys.18.4.1

#THU #USTC #HeifeiLab #FudanUniversity #ShanghaiQiZhi
#STCShanghai

SciPost Physicsphysics@scipost.social
2025-03-20

New #openaccess publication #SciPost #Physics

Fusion of low-entanglement excitations in 2D toric code

Jing-Yu Zhao, Xie Chen
SciPost Phys. 18, 106 (2025)
scipost.org/SciPostPhys.18.3.1

#THU #CalTech

SciPost Physicsphysics@scipost.social
2025-02-11

New #openaccess publication #SciPost #Physics

Asymptotic symmetries in the TsT/TTbar correspondence

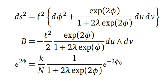
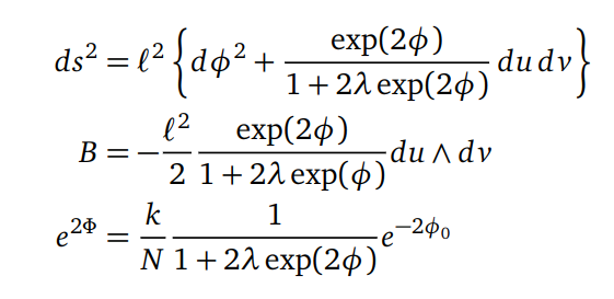
Zhengyuan Du, Wen-Xin Lai, Kangning Liu, Wei Song
SciPost Phys. 18, 049 (2025)
scipost.org/SciPostPhys.18.2.0

#THU #YMSC #KITS

SciPost Physicsphysics@scipost.social
2024-12-13

New #openaccess publication #SciPost #Physics

Topologically ordered steady states in open quantum systems

Zijian Wang, Xu-Dong Dai, He-Ran Wang, Zhong Wang
SciPost Phys. 17, 167 (2024)
scipost.org/SciPostPhys.17.6.1

#THU

Cassidy Curtisotherthings
2024-10-18

I had such a great time demoing Big Wet Pixels live on stage at THU! Here are some photos and screenshots from the event.

otherthings.com/blog/2024/10/b

A view from on stage in a presentation room at the Trojan Horse Was a Unicorn Main Event. The room is colorfully lit with pink, orange and blue light. A volunteer in a turquoise shirt sits for his portrait on a chair onstage. In the foreground we see a tripod-mounted SLR camera aimed at the subject, and the presenter's laptop, showing a real-time watercolor simulation that's in the process of painting the portrait in vivid greens and yellows. The laptop's screen is mirrored on a giant LED monitor in the background, behind five rows of seats.

Client Info

Server: https://mastodon.social
Version: 2025.07
Repository: https://github.com/cyevgeniy/lmst