#Streamtemperature

2024-08-27

Surprisingly, those patterns generalize across most rivers (at least in the US), but they're most prominent in the mountains. Formulating a function to capture that ended up being important for the modeling work, and it also turned a "that's funny" side-note into a paper, which I'm thrilled to announce has just been published in JAWRA: onlinelibrary.wiley.com/doi/10

(The paper is behind a paywall, but I can share copies on request.)

#NewPaperAlert #Hydrology #StreamTemperature

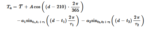
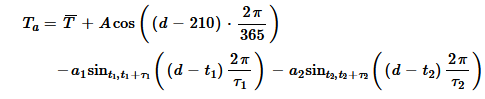
Equation 2 from the paper describing mean stream temperature throughout the year: Ta = T + A*cos((d-210) * 2pi/365) - a1 sin_(t1,t1+tau1)((d-t1)2pi/tau1) - a2sin_(t2,t2+tau2)((d-t2)2pi/tau2).Plots comparing observed stream temperatures to a sine curve (the traditional formulation) in Florida, northern Maine, and western Montana.  In Florida, stream temperatures are neatly sinusoidal throughout the year, but in both Maine and Montana, observed temperatures deviate substantially from the sine curve.
2024-08-27

In the process of developing a new stream temperature model, I noticed some odd seasonal error spikes in mountainous watersheds. It turns out that stream temperature seasonality has some distinct patterns that aren't captured in the typical annual formulation (a sinusoid with a period of one year): in most streams, the spring is colder, summer warmer, autumn colder, and winter warmer than you'd expect from a sine curve.

#NewPaperAlert #Hydrology #StreamTemperature

A graph of mean stream temperatures throughout the year, grouped by elevation.  All curves are roughly sinusoidal, but the higher-elevation curves show a distinct asymmetry, with an "inward-pushed" left side (as it warms up in the spring) and a surprisingly steep drop-off in the autumn.

From https://onlinelibrary.wiley.com/doi/10.1111/1752-1688.13228
2024-07-01

#NewPaperAlert

I'm happy to share that our paper introducing "A machine learning model for estimating the temperature of small rivers using satellite-based spatial data" is out in Remote Sensing of Environment. We developed the model to quickly estimate monthly mean stream temperatures for ungauged basins throughout the contiguous US using minimal data, built for fast, large-scale analyses.

Open-access paper: doi.org/10.1016/j.rse.2024.114

#hydrology #streamtemperature #RemoteSensing

2024-07-01

#Introduction

Hello world,
I'm a hydrologist working on large-domain (contiguous US) stream temperature modeling and forecasting with an emphasis on ungauged watersheds, often using remote sensing data products. I also dabble in hydraulic modeling and maintain several open-source packages for stream temperature analysis/modeling and HEC-RAS automation.

#hydrology #streamtemperature #remotesensing

Client Info

Server: https://mastodon.social
Version: 2025.07
Repository: https://github.com/cyevgeniy/lmst